
Pro hodnocení tepelných čerpadel se obecně používá parametr topný faktor COP (Coefficient of Performance). Toto bezrozměrné číslo vypovídá dle ČSN EN 14511 o efektivitě přenosu energie tepelným čerpadlem. Jedná se o teoretický poměr mezi produkovaným teplem a spotřebovanou energií. Byť svojí fyzikální podstatou neodpovídá účinnosti (nepočítá do příkonu energii získanou z OZE čímž překračuje hodnotu 1), bývá někdy označován s ohledem na charakter výpočtu jako zdánlivá, či relativní účinnost.
Obecně platí, že čím vyšší topný faktor při daných podmínkách je, tím efektivnější je přenos energie tepelného čerpadla. Topný faktor není konstantní hodnotou. Mění se dle podmínek, v nichž tepelné čerpadlo pracuje.
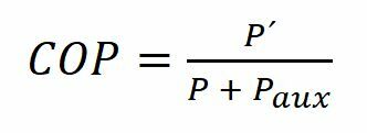
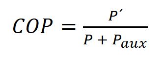
Faktory, které ovlivňují topný faktor, jsou teplota nízko-potenciálního zdroje energie (OZE) a teplota kondenzace. Norma stanovuje, jak uvádět topný faktor, kde se kromě hodnoty COP uvádí i podmínky, při nichž byla hodnota měřena např. COP = 3 (A7/W35). Uvedený příklad znamená topný faktor tři, teplota nízko-potenciálního zdroje 7 °C teplota topné vody 35 °C. Topný faktor se stanovuje z laboratorního měření při různých provozních podmínkách (teploty na vstupu do výparníku, teploty na výstupu z kondenzátoru) pro zachycení dostatečného provozního rozsahu. Největší množství bodů se zkouší pro tepelná čerpadla vzduchová, kde dochází k nejvýraznějším odchylkám. Jako standardní (či normované) podmínky, při kterých se uvádí hodnota pro vzduchová tepelná čerpadla, jsou uvedeny hodnoty A2/W35. Topný faktor se stanoví podle vztahu:
V rovnici (1) je P´ definováno jako tepelný výkon tepelného čerpadla, P je příkon tepelného čerpadla a Paux je příkon pomocných zařízení, odmrazování a vlastní regulace v kilowattech.
Topný faktor tepelného čerpadla stanovený měřením v laboratoři pro jednu kombinaci provozních podmínek nevyjadřuje věrohodně provozní efektivitu tepelného čerpadla provozovaného celý rok v měnících se teplotních podmínkách. Lepším kritériem při výběru tepelného čerpadla než jmenovitý topný faktor (za standardních podmínek) je sezónní topný faktor tepelného čerpadla SCOP definovaný normou ČSN EN 14825. Norma ČSN EN 14825 uvádí výpočet SCOP z celoroční bilance produkce tepla daného tepelného čerpadla. Na základě ČSN EN 14825 lze SCOP zjednodušeně popsat takto:
V rovnici (2) je Qh definováno jako roční produkce tepla kilowatthodinách a Qhe je roční spotřeba energie taktéž v kilowatthodinách.
Pro plynová tepelná čerpadla, kde není možné přímo měřit spotřebovanou energii se používá hodnota GUE (Gas Utilization Efficiency). Jde o ekvivalent topného faktoru, kde příkon odpovídá energii získané spalováním plynu. Hodnotu GUE pak lze definovat takto:
V rovnici (3) je GUE definováno jako podíl mezi produkovaným teplem Qh a energií Qgas dodanou plynem. To lze rovněž definovat jako podíl produkovaného tepla ΔQh v časovém intervalu a součinu spotřebovaného objemu plynu ΔVgas za uvedený časový interval a výhřevnosti (Loir Rating Value) Hi,n plynu.
Při porovnání relativních účinností různých technologií zjistíme, že například topný faktor COP a faktor využití plynu GUE není zcela kompatibilní. Elektrická tepelná čerpadla dnes běžně mají hodnoty COP vyšší než 5 za podmínek A2/W35. Naproti tomu GUE u nejúčinnějších plynových čerpadel jen mírně překračuje hodnotu 1,5 a to za stejných podmínek. I přes to, že všechna tepelná čerpadla pracují s mírnými modifikacemi na principu Carnotova cyklu, hodnoty relativní účinnosti se mezi jednotlivými technologiemi diametrálně liší. Tuto metodiku tak je možné použít pouze pro porovnání v rámci dané technologie.
Faktor primární neobnovitelné energie SPER
Aby bylo možné provést objektivní energetické hodnocení různých technologií a řešení, byl zaveden pojem primární energii a energo-nositele, jenž definuje norma EN 15603. Primární energií se rozumí energie, která neprošla žádným procesem přeměny. Primární neboli prvotní energii lze chápat jako energii ve formě, v jaké se vyskytuje v přírodě. Primární energie je rozdělena na energii obnovitelnou a na energii neobnovitelnou. Součet obnovitelné a neobnovitelné energie nazýváme celková primární energie. Energo-nositelem se rozumí hmota nebo jev, která nebo který mohou být použity k výrobě mechanické práce nebo tepla nebo na ovládání chemických nebo fyzikálních procesů. Energo-nositelem je například zemní plyn, elektrická energie, dálkové teplo apod. Přepočet potřeby různých energo-nositelů na neobnovitelnou primární energii jako společného jmenovatele, umožňuje jednoduché sčítání různých druhů energií a vyjadřuje tak zjednodušeně vliv potřeby energo-nositelů na životní prostředí. Do potřeby neobnovitelné primární energie se započítává nejen energetický obsah vytěžené suroviny, ale také neobnovitelná energie potřebná na vlastní těžbu, zpracování, dopravu a uskladnění paliv, případně přeměnu na energii konkrétního energo-nositele a jeho dopravu (rozvod, distribuci).
Pro výpočet potřeby neobnovitelné primární energie na dodávku energie daného energo-nositele se používá tzv. faktor neobnovitelné primární energie f [–], neboli zkráceně konverzní faktor. Faktor neobnovitelné primární energie PER (Primary Energy Ratio) je bezrozměrný podíl mezi potřebou neobnovitelné primární energie a potřebou energie dodané. Pro Českou republiku udává hodnotu konverzních faktorů např. Vyhláška 78/2013 Sb. (2013). Pro potřeby hodnocení tepelných čerpadel na úrovni Evropské unie jsou hodnoty stanoveny Nařízením Komise EU.
Na základě znalosti korekčního faktoru je možné stanovit sezonní energetickou účinnost vztaženou k spotřebě neobnovitelné primární energie. Její výpočet lze definovat jako:
V rovnici (4) je SCOP sezonní topný faktor, f je faktor primární neobnovitelné energie a SPER je sezónní energetická účinnost vztažená k neobnovitelné primární energii.
V praxi to znamená, že lze získat hodnoty topných faktorů (přepočtených na primární neobnovitelnou energii), jež jsou mezi sebou environmentálně porovnatelné. Pokud se vezme v potaz efektivita výroby a přenosu elektrické energie, která je nyní cca 38 % (faktor primární energie činí 2,6) a efektivitu zemního plynu jež je cca 91 % (faktor primární energie 1,1) a přepočteme jimi topný faktor získáme porovnatelné hodnoty.
Sezónní energetická účinnost vytápění tepelným čerpadlem ηs
S požadavkem na standardizované stanovení minimální energetické účinnosti výrobků vznikl i požadavek na celoevropskou metodiku, která stanoví, jak je objektivně hodnotit. Za tímto účelem vzniklo Nařízení komise 811 (NK 811, 2013) které je součástí řady legislativních nařízení věnujících se požadavkům na ekodesign ohřívačů (811-814/2013). Ty do vysoké míry využívají a rozšiřuji již stávající standardizované hodnocení. Nařízení 811 konkrétně popisuje" uvádění spotřeby energie na energetických štítcích ohřívačů pro vytápění vnitřních prostorů, kombinovaných ohřívačů, souprav sestávajících z ohřívače pro vytápění vnitřních prostorů, regulátoru teploty a solárního zařízení a souprav sestávajících z kombinovaného ohřívače, regulátoru teploty a solárního zařízení". Pod toto nařízení tedy spadají mimo jiné i tepelná čerpadla určena pro vytápění vnitřních prostor. Nařízení Komise 813 (NK 813, 2013) je pak primárně určeno pro označování zdrojů tepla dle třídy energetické účinnosti A+++ až G vyjádřené graficky na štítku zařazují na základě dosažené hodnoty sezonní energetické účinnosti vytápění.
Základním hodnotícím kritériem, je tedy sezónní energetická účinnost vytápění, jež uvádí NK 811. Ta určuje efektivitu zdroje z hlediska využití primární neobnovitelné energie. Sezónní energetická účinnost vytápění ηs tepelným čerpadlem se stanoví podle vztahu:
V rovnici (5) definuje SCOP sezónní topný faktor, f převodní koeficient a F korekční faktor. Ten zahrnuje negativní vlivy, jako vliv regulace teploty či vliv oběhových čerpadel použitých v okruhu výparníku.
Roční produkce tepla Qh a topný faktor SCOPon se při provozu tepelného čerpadla (v aktivním stavu) určí zjednodušenou intervalovou metodou s využitím sady hodnot tepelného výkonu a COP tepelného čerpadla ze zkoušky podle ČSN EN 14511. Hodnocení se provádí pro zvolenou jmenovitou tepelnou ztrátu objektu a definované teplotní klima. Tepelná čerpadla pak jsou zkoušena pouze při nízkých a vysokých teplotách a sezónní energetická účinnost se stanovuje pro obě teplotní hladiny. Nařízení Komise č. 811/2013 rozlišuje nízkoteplotní aplikaci (35 °C na výstupu tepelného čerpadla) a středně teplotní aplikaci (55 °C na výstupu tepelného čerpadla). Aplikací (použitím) je v kontextu nařízení rozuměna otopná soustava. Hodnocení tepelných čerpadel vychází z laboratorního testování podle příslušných norem. Na základě výsledků se výpočtem stanoví sezónní energetická účinnost a tepelnému čerpadlu se přiřadí určitá třída energetické účinnosti podle platného Nařízení Komise. Energetická třída tak v sobě nezahrnuje ekonomické náklady na zdroj, ale vychází pouze z efektivity využití neobnovitelné primární energie.
Hodnotící parametry pro plynová čerpadla
V praxi se při hodnocení plynových čerpadel nejčastěji setkáváme s již zmíněnými parametry faktorem využití plynu GUE a poměr primární energie PER. Ty jsou pro potřeby hodnocení plynových čerpadel definovány takto:
V rovnici (6) je GUE definováno jako podíl mezi produkovaným (získávaným) teplem Qh a energií Qgas dodanou plynem. Rovněž také jako podíl produkovaných nergií. Primární energie je v tomto případě sumou všech dodaných energií v plynu Qgas a elektrické energii Qe.e., vážených podle příslušných činitelů primární energie pro plyn fgas = 1,1 a elektrickou energii fe.e. = 2,6.
V současné době je kladen stále větší důraz na hodnocení systému vytápění jako celku. Řadou měření bylo prokázáno, že nejen samotná efektivita zdroje ale i kvalita implementace zdroje do systému hraje velmi významnou roli při hodnocení efektivity řešení. Za tímto účelem jsou zaváděny parametry, které hodnotí úroveň implementace zařízení do systému případě systém jako celek.
V praxi se nejčastěji setkáme s faktorem zatížení LF (Load Factor), potenciálem úspory energie ESR (Evaluate Saving Energy) a celkovou energetickou účinností systému. Faktor zatížení LF definuje, jak byl využit potenciál tepelného čerpadla porovnáním skutečně dodaného tepla s teplem dodaným za nominálních podmínek. Hodnota potenciálu úspory energie ESR definuje o kolik procent se sníží či snížila spotřeba energie získané spalováním zemního plynu oproti jiné technologii například plynovému kotli GCB (Gas Condenzing Boiler). Parametr ∑PER pak udává poměr potřeby primární energie celého systému vůči dodanému teplu. Tato hodnota má velký význam především u složitějších systému kde plynové čerpadlo je jen malá část celého systému.
Faktor zatížení LF v rovnici (8) je definován podílem skutečně produkovaného tepla DQh v časového intervalu a nominálním teplem Qh,nom, které bylo v daném časovém intervalu produkováno při nominálním výkonu Qh,nom. Potenciál úspory energie ESR (5) je Qgas [kWh] celoroční spotřeba tepla ze zemního plynu v novém energetickém systému a QGCB [kWh] spotřeba tepla v porovnávaném systému. Celkový poměr primární energie ∑PER v rovnici (7) je dán stejně jako u hodnocení samotného zdroje podílem produkce tepla ∑Qh a celkovou dodanou primární energií váženou dle příslušných činitelů. Hodnoty jsou však měřeny v rámci celého systému.
Parametry plynových tepelných čerpadel
Garantované hodnoty klíčových parametrů naleznete v manuálech pro instalaci a údržbu, a nebo v projekčních manuálech, které jsou v našich dokumentech zde. Faktory využití plynu se obvykle pohybují okolo hodnoty 170 % s ohledem na konkrétním typ tepelného čerpadla. Skutečné sezonní faktory naleznete v dalším příspěvku měření účinnosti plynových tepelných čerpadel a měření účinnosti absorbčního vytápění s plynovými tepelnými čerpadly. Sezonní faktor využití plynu pro plynové absorpční tepelné čerpadlo se v reálném provozu pohybuje v intervalu 1,3 - 1,4 pro plynová tepelná čerpadla vzduch/voda a 1,4 - 1,5 pro plynová tepelná čerpadla země/voda.
Ekonomika provozu s plynovými absorpčními tepelnými čerpadly
Komplexní ekonomická analýza je složitý individuální proces, kde se musí zohlednit kromě jednotkových nákladů také investiční náklady, provozní a servisní náklady, paušální platby, ale i časová náročnost obsluhy dané technologie. To je velice individuální výpočet, který se zásadně liší dle podmínek každé instalace. Pro jednoduchost se tedy zaměříme pouze na jednotkové náklady tedy na cenu za dodanou kilowatthodinu tepla.
Pro tu je zásadní vstupní cena dané energie a a faktor jejího využití tzn. faktor využití plynu, topný faktor nebo účinnost. Ceny dle platného ceníku v době publikace článku jsou uvedeny níže.
| Cena za kWh [Kč] | |
|---|---|
| Plyn1 | 1,83 |
| Elektřina2 | 4,69 |
| 1 Ceník plyn na dobu neurčitou 2 Ceník elektřina na dobu neurčitou |
|
Pokud provedeme výpočet pro tři technická řešení tedy pro kondenzační kotel, elektrické tepelné čerpadlo a plynové tepelné čerpadlo musíme zohlednit sezónní účinnost Sη (kondenzační kotel), sezonní topný faktor SCOP (elektrické tepelné čerpadlo) a sezonního faktoru využití plynu SGUE (plynové tepelné čerpadlo). Výsledky jsou uvedeny v tabulce 2.
| Zdroj | Cena za kWh tepla [Kč] | |
|---|---|---|
| Kondenzační kotel | Sη = 0,9 | 2,1 |
| Elektrické čerpadlo | SCOP = 3 | 1,5 |
| Plynové čerpadlo | SGUE = 1,3 | 1,4 |
U plynového tepelného čerpadla není započtena cena za pomocnou elektrickou energii (ventilátor, topný kabel, elektronika). Ta představuje cca 0,10 Kč na každou 1 kWh tepla při uvedených cenách. Hodnoty obou tepelných čerpadel pak budou vycházet velice podobně, a to cca 30 % pod jednotkovou cenou tepla z kondenzačního kotle. Rozdíl mezi jednotkovou cenou za kwh z plynového a elektrického tepelného čerpadla je tedy dán sezonním topným faktorem, ale především poměrem ceny plynu a elektřiny na trhu.
Rychlý kontakt
Obchod:







